欧洲精品在线视频,小sao货大ji巴cao死你,日本视频在线免费,亚洲成人一区二区在线观看,aaaaa一级片,男女吻胸做爰摸下身

咨詢電話: 187-1797-6220

— 行業資訊 —

大中電機歡迎您
聯系我們/CONTACT US
全國免費客服電話 187-1797-6220
承務實業有限公司

地址:上海市松江區莘磚公路399弄

電話:021-6992-5088

手機:187-1797-6220 朱經理

郵箱:18717976220@163.com

您的位置:首頁 > 新聞資訊 > 行業資訊 >

行業資訊

電機啟動的三種方式(電動機的啟動方式分為)

發布時間:2021-03-12 13:00

首先,很明顯,不能通過直接啟動來啟動55kW電動機。原因是:

1.直接啟動電流是電動機額定電流的4至7倍,而55kW電動機額定電流約為110A。那么啟動電流約為440-770A。這些大電流對電網產生重大影響。

2.它會影響電網中其他設備的正常運行。

3.電機繞組被加熱,絕緣層老化。這會縮短電動機的壽命。

除了直接啟動之外,還有其他啟動方式嗎?

1.定子串電抗降壓啟動;

2.星三角降壓啟動;

3.自耦變壓器降壓啟動;

4.軟起動器啟動

軟啟動包括以下:方法。

1.晶閘管軟啟動;

2.自控軟啟動;

3.高壓自飽和軟啟動;

4.智能電磁調壓軟啟動

您可以根據實際情況選擇啟動方式。

通用電動機啟動方法

籠型異步電動機的常見啟動方法是直接啟動和降壓啟動。

直接啟動所需的設備最簡單,易于維護且啟動時間短。缺點是啟動電流大,啟動電流太大,線路電壓下降,影響正常運行,對其他設備和線路沖擊有一定影響。

對于大型電動機,通常使用降壓啟動。典型的降壓啟動方法包括串聯電阻降壓啟動,自耦變壓器降壓啟動和星三角降壓啟動。在三步降壓啟動之后,軟啟動器啟動,逆變器啟動。

55kw電機采用什么啟動方式比較合適?啟動方式判斷依據

判斷各種啟動方法的標準

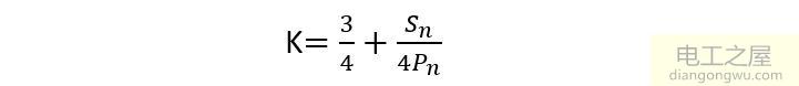
確定籠型異步電動機啟動模式的標準:

55kw電機采用什么啟動方式比較合適?啟動方式判斷依據

其中:K代表電動機啟動確定系數,Sn代表變壓器容量,單位:KVA,Pn代表電動機容量,單位:KW。

當K≥6時,您可以直接啟動。

如果

4≤K<6,則應使用星形增量降壓啟動或其他降壓啟動方法。

K <4時,建議使用軟啟動。

樣品分析

假設您有一臺55KW的電動機,它提供的電源變壓器為1000KVA。那么,該電動機的正確啟動方法是什么?

解決方法:根據公式替換以下內容。

相關推薦

在線留言

您的姓名*

聯系電話*

公司名稱

留言內容*

Copyright?承務實業有限公司 網站圖片內容來源于網絡,如有侵權請聯系刪除。滬ICP備16040912號-21 網站地圖 | xml

在線咨詢

索要報價

銷售熱線

銷售熱線:187-1797-6220